声学楼论坛技术交流区电声器件与系统设计各类扬声器设计室 → 扬声器振幅计算


  共有241491人关注过本帖树形打印复制链接

主题:扬声器振幅计算

帅哥哟,离线,有人找我吗?
水仙
  1楼 | QQ | 信息 | 搜索 | 邮箱 | 主页 | UC


加好友 发短信 电声从业人员
等级:超级版主 帖子:6565 积分:51373 威望:10 精华:39 注册:2005-10-28 8:32:06
扬声器振幅计算  发帖心情 Post By:2005-10-31 13:08:41 [显示全部帖子]

有学员问到扬声器的低频振幅如何计算,不考虑磁路和顺性的非线性,Q值较大(Qts>0.707)时,可用下式计算:

Xpeak=Bli*Cms*(Qts^2/sqrt(Qts^2-0.25))

概念很直观,位移=力*顺性*修正因子

[此贴子已经被作者于2005-11-25 22:04:40编辑过]

 回到顶部
帅哥哟,离线,有人找我吗?
水仙
  2楼 | QQ | 信息 | 搜索 | 邮箱 | 主页 | UC


加好友 发短信 电声从业人员
等级:超级版主 帖子:6565 积分:51373 威望:10 精华:39 注册:2005-10-28 8:32:06
  发帖心情 Post By:2005-10-31 20:42:21 [显示全部帖子]

多谢初哥补充!这样一来更易让人了解。

在Q值较大时还有一个有趣的现象,即Fpeak与Fs不相等,

Fp=Fs*sqrt(1-0.5/Qt^2)

这与有些人认为的并不相同,很多人误认为阻抗峰最大处振幅也最大,其实频响峰与阻抗峰也不会相同。



声学楼--声学工程师之家
QQ:350824984,邮件:adrian_chi@163.com,微博:adrian_chi,微信:adrian_chi
 回到顶部
帅哥哟,离线,有人找我吗?
水仙
  3楼 | QQ | 信息 | 搜索 | 邮箱 | 主页 | UC


加好友 发短信 电声从业人员
等级:超级版主 帖子:6565 积分:51373 威望:10 精华:39 注册:2005-10-28 8:32:06
  发帖心情 Post By:2005-11-1 16:11:36 [显示全部帖子]

前几天偶然听到争论: Fs处什么最大?有人就说是振幅,有人说是速度,又有人说是声压


声学楼--声学工程师之家
QQ:350824984,邮件:adrian_chi@163.com,微博:adrian_chi,微信:adrian_chi
 回到顶部
帅哥哟,离线,有人找我吗?
水仙
  4楼 | QQ | 信息 | 搜索 | 邮箱 | 主页 | UC


加好友 发短信 电声从业人员
等级:超级版主 帖子:6565 积分:51373 威望:10 精华:39 注册:2005-10-28 8:32:06
  发帖心情 Post By:2005-12-10 15:29:41 [显示全部帖子]

再给一个位移计算公式:

参考振幅ξ

与参考电声转换效率ηo、电功率Pe、等效半径a、频率f有关。

ξ = 0.481*SQR(Pe*ηo)/(a*f)2

参考电声转换效率ηo

由机电耦合因子BL、等效辐射面积Sd、等效振动质量Mms共同决定。

ηo =(ρo/2πc)*(BL*Sd/Mms)2/Re

参考灵敏度级SPLo

与参考电声转换效率ηo直接相关。

SPLo = 112+10lgηo


 回到顶部
帅哥哟,离线,有人找我吗?
水仙
  5楼 | QQ | 信息 | 搜索 | 邮箱 | 主页 | UC


加好友 发短信 电声从业人员
等级:超级版主 帖子:6565 积分:51373 威望:10 精华:39 注册:2005-10-28 8:32:06
  发帖心情 Post By:2006-3-1 11:34:15 [显示全部帖子]

鼓励和支持学术方面的讨论,有不同见解和观点很正常.

顺便说一下,王老师的书也是引用前人的资料和观点,不代表他本人的观点!



声学楼--声学工程师之家
QQ:350824984,邮件:adrian_chi@163.com,微博:adrian_chi,微信:adrian_chi
 回到顶部
帅哥哟,离线,有人找我吗?
水仙
  6楼 | QQ | 信息 | 搜索 | 邮箱 | 主页 | UC


加好友 发短信 电声从业人员
等级:超级版主 帖子:6565 积分:51373 威望:10 精华:39 注册:2005-10-28 8:32:06
  发帖心情 Post By:2006-3-4 22:44:55 [显示全部帖子]

《音响技术》主编大草


声学楼--声学工程师之家
QQ:350824984,邮件:adrian_chi@163.com,微博:adrian_chi,微信:adrian_chi
 回到顶部
帅哥哟,离线,有人找我吗?
水仙
  7楼 | QQ | 信息 | 搜索 | 邮箱 | 主页 | UC


加好友 发短信 电声从业人员
等级:超级版主 帖子:6565 积分:51373 威望:10 精华:39 注册:2005-10-28 8:32:06
  发帖心情 Post By:2007-1-10 21:45:32 [显示全部帖子]

结论就是,不管是大喇叭还是小喇叭,设计时都必须考虑一定功率下的振幅,以避免打底和异音.这是很实际的问题.


声学楼--声学工程师之家
QQ:350824984,邮件:adrian_chi@163.com,微博:adrian_chi,微信:adrian_chi
 回到顶部
帅哥哟,离线,有人找我吗?
水仙
  8楼 | QQ | 信息 | 搜索 | 邮箱 | 主页 | UC


加好友 发短信 电声从业人员
等级:超级版主 帖子:6565 积分:51373 威望:10 精华:39 注册:2005-10-28 8:32:06
  发帖心情 Post By:2007-1-10 21:48:33 [显示全部帖子]

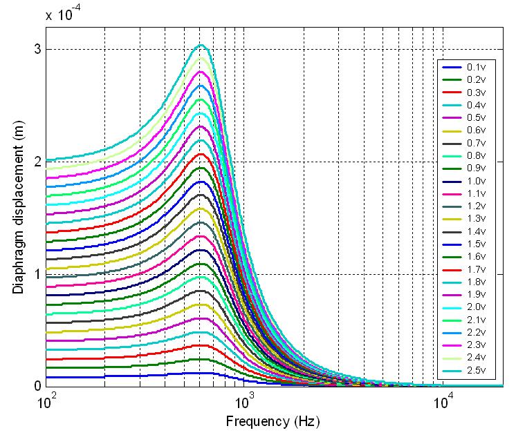
微型扬声器的一个例子:


图片点击可在新窗口打开查看此主题相关图片如下:
图片点击可在新窗口打开查看



声学楼--声学工程师之家
QQ:350824984,邮件:adrian_chi@163.com,微博:adrian_chi,微信:adrian_chi
 回到顶部
帅哥哟,离线,有人找我吗?
水仙
  9楼 | QQ | 信息 | 搜索 | 邮箱 | 主页 | UC


加好友 发短信 电声从业人员
等级:超级版主 帖子:6565 积分:51373 威望:10 精华:39 注册:2005-10-28 8:32:06
  发帖心情 Post By:2007-1-10 21:57:10 [显示全部帖子]

上面的例子是用PSPICE仿真的,重新验算了一下,上面的结果没有考虑到峰值的影响(电压是RMS值),简谐信号需乘以1.4,音乐信号需要更大.


声学楼--声学工程师之家
QQ:350824984,邮件:adrian_chi@163.com,微博:adrian_chi,微信:adrian_chi
 回到顶部
帅哥哟,离线,有人找我吗?
水仙
  10楼 | QQ | 信息 | 搜索 | 邮箱 | 主页 | UC


加好友 发短信 电声从业人员
等级:超级版主 帖子:6565 积分:51373 威望:10 精华:39 注册:2005-10-28 8:32:06
  发帖心情 Post By:2007-7-11 9:09:33 [显示全部帖子]

这里讨论的是理想情况下的结果,主要起到估算作用。

理想情况,就是没有考虑到非线性。

最大振幅(位移)会超过Xmax,甚至会超过极限位移,因为这里没有考虑失真。因而,信号很大(功率很大)时,什么情况都会发生,如打底(硬碰触,如音圈打底,弹波打底等)或音圈跳出磁间隙。

功放的功率规定有点可以借鉴,如不失真输出功率,一般规定为失真小于1%。这并不意味着标称100W1%不失真输出功率的功放就不能输出超过100W的功率了,不考虑声音好不好听(即不考虑失真等),这种功放在大信号输入情况下音量旋钮打到最大时,完全可以输出120W或更高的功率。当然,极限情况就是削波。



声学楼--声学工程师之家
QQ:350824984,邮件:adrian_chi@163.com,微博:adrian_chi,微信:adrian_chi
 回到顶部
总数 17 1 2 下一页