声学楼论坛技术交流区基础理论室 → 扬声器理论专家的研究


  共有24358人关注过本帖树形打印复制链接

主题:扬声器理论专家的研究

帅哥哟,离线,有人找我吗?
db
  1楼 | 信息 | 搜索 | 邮箱 | 主页 | UC


加好友 发短信 魔幻大师
等级:新手上路 帖子:1360 积分:12686 威望:2 精华:5 注册:2005-11-21 20:56:56
扬声器理论专家的研究  发帖心情 Post By:2006-2-2 13:09:17 [显示全部帖子]


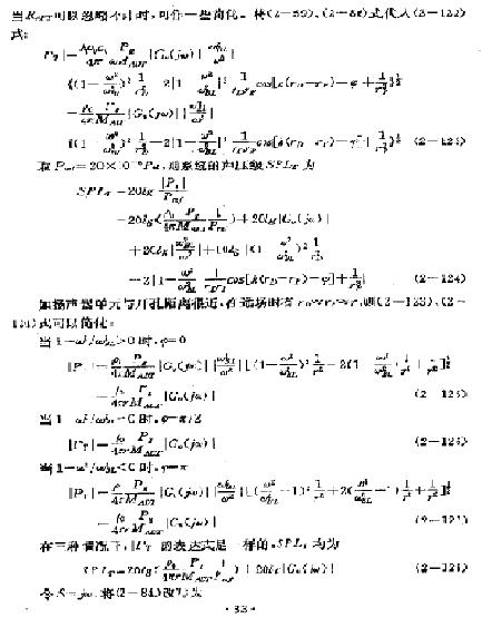
此主题相关图片如下:
按此在新窗口浏览图片


此主题相关图片如下:
按此在新窗口浏览图片

[此贴子已经被作者于2006-02-02 19:38:29编辑过]


久违了,这次搬来了很多砖头,别闪啊,呵呵
 回到顶部
帅哥哟,离线,有人找我吗?
db
  2楼 | 信息 | 搜索 | 邮箱 | 主页 | UC


加好友 发短信 魔幻大师
等级:新手上路 帖子:1360 积分:12686 威望:2 精华:5 注册:2005-11-21 20:56:56
  发帖心情 Post By:2006-2-2 15:48:59 [显示全部帖子]

以下是引用知春在2006-02-02 14:24:38的发言:
是DB的大作吗?

哈哈,不可能.

DX应该有人明了!不知著者是否会来,这也可说明本论坛的著名度.

[此贴子已经被作者于2006-02-02 15:51:24编辑过]


久违了,这次搬来了很多砖头,别闪啊,呵呵
 回到顶部
帅哥哟,离线,有人找我吗?
db
  3楼 | 信息 | 搜索 | 邮箱 | 主页 | UC


加好友 发短信 魔幻大师
等级:新手上路 帖子:1360 积分:12686 威望:2 精华:5 注册:2005-11-21 20:56:56
  发帖心情 Post By:2006-2-2 18:30:15 [显示全部帖子]

以下是引用liyy在2006-02-02 16:59:49的发言:
db,你小伙能不能大方点,多贴点上来,让大家学习学习(或者批判批判),贴了还看不清楚,怎么搞的?

如不清楚,我来试试重贴.多贴是要经著者授权的,我不敢啊,得罪不起啊!

已清楚了

[此贴子已经被作者于2006-02-02 19:40:18编辑过]


久违了,这次搬来了很多砖头,别闪啊,呵呵
 回到顶部
帅哥哟,离线,有人找我吗?
db
  4楼 | 信息 | 搜索 | 邮箱 | 主页 | UC


加好友 发短信 魔幻大师
等级:新手上路 帖子:1360 积分:12686 威望:2 精华:5 注册:2005-11-21 20:56:56
  发帖心情 Post By:2006-2-2 21:33:38 [显示全部帖子]

专家会生气的.只能对事不对人


久违了,这次搬来了很多砖头,别闪啊,呵呵
 回到顶部
帅哥哟,离线,有人找我吗?
db
  5楼 | 信息 | 搜索 | 邮箱 | 主页 | UC


加好友 发短信 魔幻大师
等级:新手上路 帖子:1360 积分:12686 威望:2 精华:5 注册:2005-11-21 20:56:56
  发帖心情 Post By:2006-2-2 21:43:53 [显示全部帖子]

一般是DX肯定认识他,他不一定认识你.


久违了,这次搬来了很多砖头,别闪啊,呵呵
 回到顶部
帅哥哟,离线,有人找我吗?
db
  6楼 | 信息 | 搜索 | 邮箱 | 主页 | UC


加好友 发短信 魔幻大师
等级:新手上路 帖子:1360 积分:12686 威望:2 精华:5 注册:2005-11-21 20:56:56
  发帖心情 Post By:2006-2-2 22:00:04 [显示全部帖子]

哎呀,一般搞电声的肯定多知道,如不知道则真的需要多关心周围一下.深圳的电声研发是那些人搞的?,我还是不说了吧.


久违了,这次搬来了很多砖头,别闪啊,呵呵
 回到顶部
帅哥哟,离线,有人找我吗?
db
  7楼 | 信息 | 搜索 | 邮箱 | 主页 | UC


加好友 发短信 魔幻大师
等级:新手上路 帖子:1360 积分:12686 威望:2 精华:5 注册:2005-11-21 20:56:56
  发帖心情 Post By:2006-2-6 23:54:34 [显示全部帖子]

以下是引用音响初哥在2006-02-02 22:32:10的发言:

是不是生气就不关我事了!从贴出的这点东西来看,至多是一个做初级培训班用的讲稿,可能无任何独到见解!

倒相箱和传输线全部基本的入门的内容,很多东西绝对缺省!

这是一篇博士论文!中国有几个电声学博士?千万他不要来。呵呵



久违了,这次搬来了很多砖头,别闪啊,呵呵
 回到顶部
帅哥哟,离线,有人找我吗?
db
  8楼 | 信息 | 搜索 | 邮箱 | 主页 | UC


加好友 发短信 魔幻大师
等级:新手上路 帖子:1360 积分:12686 威望:2 精华:5 注册:2005-11-21 20:56:56
  发帖心情 Post By:2006-2-7 20:19:42 [显示全部帖子]

有眼不识泰山,等着你老师来训话。

江湖百晓生,竟不知师傅是谁?

呵呵



久违了,这次搬来了很多砖头,别闪啊,呵呵
 回到顶部
帅哥哟,离线,有人找我吗?
db
  9楼 | 信息 | 搜索 | 邮箱 | 主页 | UC


加好友 发短信 魔幻大师
等级:新手上路 帖子:1360 积分:12686 威望:2 精华:5 注册:2005-11-21 20:56:56
  发帖心情 Post By:2006-2-7 21:54:36 [显示全部帖子]

可不是吹的:


此主题相关图片如下:
按此在新窗口浏览图片


此主题相关图片如下:
按此在新窗口浏览图片


久违了,这次搬来了很多砖头,别闪啊,呵呵
 回到顶部
帅哥哟,离线,有人找我吗?
db
  10楼 | 信息 | 搜索 | 邮箱 | 主页 | UC


加好友 发短信 魔幻大师
等级:新手上路 帖子:1360 积分:12686 威望:2 精华:5 注册:2005-11-21 20:56:56
  发帖心情 Post By:2006-2-7 21:58:45 [显示全部帖子]


此主题相关图片如下:
按此在新窗口浏览图片


久违了,这次搬来了很多砖头,别闪啊,呵呵
 回到顶部
帅哥哟,离线,有人找我吗?
db
  11楼 | 信息 | 搜索 | 邮箱 | 主页 | UC


加好友 发短信 魔幻大师
等级:新手上路 帖子:1360 积分:12686 威望:2 精华:5 注册:2005-11-21 20:56:56
  发帖心情 Post By:2006-2-7 22:25:54 [显示全部帖子]

没法清楚,要么再分传试试.板主的设限再宽些就好了.


久违了,这次搬来了很多砖头,别闪啊,呵呵
 回到顶部
帅哥哟,离线,有人找我吗?
db
  12楼 | 信息 | 搜索 | 邮箱 | 主页 | UC


加好友 发短信 魔幻大师
等级:新手上路 帖子:1360 积分:12686 威望:2 精华:5 注册:2005-11-21 20:56:56
  发帖心情 Post By:2006-2-7 22:30:37 [显示全部帖子]

六颗星,该是贵宾了吧,呵呵



久违了,这次搬来了很多砖头,别闪啊,呵呵
 回到顶部
帅哥哟,离线,有人找我吗?
db
  13楼 | 信息 | 搜索 | 邮箱 | 主页 | UC


加好友 发短信 魔幻大师
等级:新手上路 帖子:1360 积分:12686 威望:2 精华:5 注册:2005-11-21 20:56:56
  发帖心情 Post By:2006-2-7 22:34:59 [显示全部帖子]

这是老大封的吗,你的头衔太土了吧

[此贴子已经被作者于2006-02-07 22:36:29编辑过]


久违了,这次搬来了很多砖头,别闪啊,呵呵
 回到顶部
帅哥哟,离线,有人找我吗?
db
  14楼 | 信息 | 搜索 | 邮箱 | 主页 | UC


加好友 发短信 魔幻大师
等级:新手上路 帖子:1360 积分:12686 威望:2 精华:5 注册:2005-11-21 20:56:56
  发帖心情 Post By:2006-2-7 22:37:30 [显示全部帖子]

ADMIN老大到底是谁?


久违了,这次搬来了很多砖头,别闪啊,呵呵
 回到顶部
帅哥哟,离线,有人找我吗?
db
  15楼 | 信息 | 搜索 | 邮箱 | 主页 | UC


加好友 发短信 魔幻大师
等级:新手上路 帖子:1360 积分:12686 威望:2 精华:5 注册:2005-11-21 20:56:56
  发帖心情 Post By:2006-2-7 22:42:32 [显示全部帖子]

呵呵,不知老大是否欢迎我这样的.


久违了,这次搬来了很多砖头,别闪啊,呵呵
 回到顶部
帅哥哟,离线,有人找我吗?
db
  16楼 | 信息 | 搜索 | 邮箱 | 主页 | UC


加好友 发短信 魔幻大师
等级:新手上路 帖子:1360 积分:12686 威望:2 精华:5 注册:2005-11-21 20:56:56
  发帖心情 Post By:2006-2-7 22:50:31 [显示全部帖子]

呵呵.那些还不多是老朋友.用得着大家操心吗.我还是搞材料最适合!
[此贴子已经被作者于2006-02-07 22:52:09编辑过]


久违了,这次搬来了很多砖头,别闪啊,呵呵
 回到顶部
帅哥哟,离线,有人找我吗?
db
  17楼 | 信息 | 搜索 | 邮箱 | 主页 | UC


加好友 发短信 魔幻大师
等级:新手上路 帖子:1360 积分:12686 威望:2 精华:5 注册:2005-11-21 20:56:56
  发帖心情 Post By:2006-2-7 22:54:02 [显示全部帖子]

那么多费书,学了也没用!能解决扬声器问题吗?简直是图财害命

培养目标

培养有爱国主义、敬业精神和德、智、体全面发展的人才

[此贴子已经被作者于2006-02-07 22:57:13编辑过]


久违了,这次搬来了很多砖头,别闪啊,呵呵
 回到顶部
帅哥哟,离线,有人找我吗?
db
  18楼 | 信息 | 搜索 | 邮箱 | 主页 | UC


加好友 发短信 魔幻大师
等级:新手上路 帖子:1360 积分:12686 威望:2 精华:5 注册:2005-11-21 20:56:56
  发帖心情 Post By:2006-2-7 22:58:48 [显示全部帖子]

老兄你是百晓生?


久违了,这次搬来了很多砖头,别闪啊,呵呵
 回到顶部
帅哥哟,离线,有人找我吗?
db
  19楼 | 信息 | 搜索 | 邮箱 | 主页 | UC


加好友 发短信 魔幻大师
等级:新手上路 帖子:1360 积分:12686 威望:2 精华:5 注册:2005-11-21 20:56:56
  发帖心情 Post By:2006-2-7 23:00:32 [显示全部帖子]

你们多学了吗?


久违了,这次搬来了很多砖头,别闪啊,呵呵
 回到顶部
帅哥哟,离线,有人找我吗?
db
  20楼 | 信息 | 搜索 | 邮箱 | 主页 | UC


加好友 发短信 魔幻大师
等级:新手上路 帖子:1360 积分:12686 威望:2 精华:5 注册:2005-11-21 20:56:56
  发帖心情 Post By:2006-2-7 23:08:55 [显示全部帖子]

呵呵,学习学习再学习!


久违了,这次搬来了很多砖头,别闪啊,呵呵
 回到顶部
总数 21 1 2 下一页